CBD 101
CANNABIS STUDY: FULL-SPECTRUM CANNABIS EXTRACTS MORE MEDICALLY EFFECTIVE THAN CBD ALONE
23 MAR CANNABIS STUDY: FULL-SPECTRUM CANNABIS EXTRACTS MORE MEDICALLY EFFECTIVE THAN CBD ALONE
Cannabidiol (CBD) has been the focus of many medical cannabis studies, and continues to prove itself as a powerful anti-inflammatory drug. What makes CBD even more desirable for some patients is that it does not cause the psychoactive effects associated with tetrahydrocannabinol (THC).
An extremely interesting study Overcoming the Bell Shaped dose-Response of Cannabidiol by using Cannabis Extract enriched in Cannabidiol was just published out of the Lautenberg Center for General and Tumor Immunology in Jerusalem. The study examines the effectiveness of administering isolated cannabinoid extracts (a CBD-only formula) versus whole plant extracts (which contain the full range of the plant’s cannabinoid content).
Cannabis Testing at The Hebrew University of Jerusalem, Israel
The Hadassah Medical School at the Hebrew University of Jerusalem sought to compare the effectiveness of a completely purified CBD extract versus a full-spectrum extract of cannabis flowers containing large quantities of CBD. The conclusion of the study was that the whole plant extract, which contained a large percentage of CBD but also contained traces of the other cannabinoids, proved far more effective than CBD-only solutions in alleviating inflammation and pain sensation.
The study demonstrated that a whole plant extract, containing the entire range of cannabinoids present in raw cannabis, will continue to provide relief for inflammation as the dose is increased. When supplied as an isolated cannabinoid extract, CBD on its own yielded a bell-curve of effectiveness, which is not desirable for medical treatments seeking effective relief that corresponds with the dosage
MATERIALS USED: PLANTS, ANIMALS, AND EXTRACTS
The purified CBD was acquired from THC Pharm. GmbH (Frankfurt, Germany) to act as the pharmaceutical grade isolated extract. For the whole plant extract, flowers from the clone 202 (proprietary strain: Avidekel) were supplied by the government-approved growers Tikun Olam Company bred to be rich in CBD, the raw flowers of this whole plant extract were ground up and cannabinoids were extracted using the solvent ethanol.
The pure CBD extract and the full-spectrum extract were formulated for both injection and oral administration. The tests were performed on ethically-approved lab mice from Hadassah Medical School. In addition to a control group, the commercial drugs aspirin and tramadol were used on separate sets of mice to further compare the effectiveness of synthetic isolations versus whole plant extracts.
The study was represented by 10-12 mice per treatment group, using known laboratory methods for measuring reductions in inflammation and pain sensation (described at length in the study). The results clearly show the medical benefit of extracting all the different compounds from the entirety of the raw cannabis flower, rather than extraction of a single cannabinoid.
RESULTS OF CBD VS. FULL-SPECTRUM ON INFLAMMATION AND PAIN
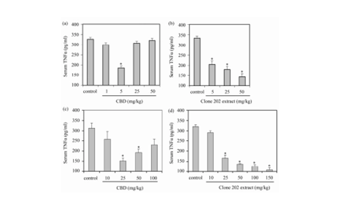
The data graphs below compare isolated cannabidiol (CBD) against a full-spectrum cannabis extract (from a CBD-rich strain). In all of the tests, the isolated CBD was ineffective both before and after a certain dosage, while the effectiveness of the full-spectrum solution continued to increase as higher doses were administered. The results all indicate that CBD is only effective against swelling and pain at a certain dose, and that cannabis solutions containing a full range of cannabinoids will continue to provide corresponding effects as the dosage is increased.
Injections:
The isolated CBD injection was moderately effective at 5 mg/kg, but became less effective when the dose was higher. The shape of the graph resembles a bell-curve, indicating that the CBD-only formula lost effectiveness after a certain dose. The results from the cannabis flower extract showed that the synergy between the cannabinoids yielded greater relief as the dosage was increased, which is desirable in medicine.
CBD and Clone 202 (Full-Spectrum) Extract Administered Orally
Oral Consumption
When the CBD and the full-spectrum extract where administered orally, the results were extremely similar to the injection test. Graph (c) shows CBD peaking at 25 mg/kg, and then losing any additional efficacy as the dose was increased. The whole plant extract provided more relief for inflammation and pain sensation as the dose was increased. It is important for the effects of the medication to reflect the dosage, as every patient is different and will require unique treatment based on aspects like tolerance.
Measuring Levels of TNFα
Production of TNF in the body leads to swelling from fluid accumulation in body tissues. The figure below represents the effectiveness of CBD and whole plant extract in suppressing TNFα production and reducing swelling. CBD proved effective only at a specific dose (25 mg/kg), while again the full-spectrum extract (concentrated from CBD-rich flowers) continued to suppress TNFα production to extremely low levels as dosage was increased.
Reduction in Levels of TNF
Comparing Commercial Drugs with CBD and Whole Plant Cannabis Extracts
Comparing Cannabis and Commercial Drugs:
The final graph shows the results of purified CBD and the full-spectrum extract when compared to the commercial drugs aspirin and tramadol. Aspirin had a moderate effect on tissue swelling, while tramadol had barely any effect. Both of the cannabis medicines prevented the swelling of the paw to a greater extent than either of the commercial drugs (a). Both of the commercial drugs did more for direct pain sensation (b), but CBD and the full-spectrum extract produced remarkable suppression of TNFα, while the commercial drugs did very little (c). Therefore, cannabis has medical properties not found in common inflammation drugs.
CONCLUSION: CANNABINOID SYNERGY MORE EFFECTIVE AGAINST SWELLING
Cannabis studies continue to legitimize the medical relevance of the different cannabinoids. However, this study shows the importance of treating ailments using the full range of cannabinoids available. Gallily, Yekhtim, and Hanus, the authors of this study of the Hebrew University of Jerusalem concluded that cannabis extracts, specifically cannabidiol, can be more effective for anti-inflammation treatment than the familiar commercial drugs on pharmacy shelves.
This study is important because it confirms the importance of cannabis as both medication and a natural plant. Many pharmaceutical companies have been trying to create synthetic derivatives of the different cannabinoids, but it turns out that the entirety of the raw cannabis plant is more beneficial than a single isolated cannabinoid. The results of this study are extremely promising for the future of cannabis science and medicine.
Cannabis Flowers Contain a Variety of Cannabinoids that Work Together
Cannabidiol as a Potential Treatment for Anxiety Disorders
Esther M. Blessing, Maria M. Steenkamp, [...], and Charles R. Marmar
Associated Data
Abstract
Cannabidiol (CBD), a Cannabis sativaconstituent, is a pharmacologically broad-spectrum drug that in recent years has drawn increasing interest as a treatment for a range of neuropsychiatric disorders. The purpose of the current review is to determine CBD’s potential as a treatment for anxiety-related disorders, by assessing evidence from preclinical, human experimental, clinical, and epidemiological studies. We found that existing preclinical evidence strongly supports CBD as a treatment for generalized anxiety disorder, panic disorder, social anxiety disorder, obsessive–compulsive disorder, and post-traumatic stress disorder when administered acutely; however, few studies have investigated chronic CBD dosing. Likewise, evidence from human studies supports an anxiolytic role of CBD, but is currently limited to acute dosing, also with few studies in clinical populations. Overall, current evidence indicates CBD has considerable potential as a treatment for multiple anxiety disorders, with need for further study of chronic and therapeutic effects in relevant clinical populations.
Electronic supplementary material
The online version of this article (doi:10.1007/s13311-015-0387-1) contains supplementary material, which is available to authorized users.
Keywords:
Cannabidiol, Endocannabinoids, Anxiety, Generalized anxiety disorder, Post-traumatic stress disorder
Introduction
Fear and anxiety are adaptive responses essential to coping with threats to survival. Yet excessive or persistent fear may be maladaptive, leading to disability. Symptoms arising from excessive fear and anxiety occur in a number of neuropsychiatric disorders, including generalized anxiety disorder (GAD), panic disorder (PD), post-traumatic stress disorder (PTSD), social anxiety disorder (SAD), and obsessive–compulsive disorder (OCD). Notably, PTSD and OCD are no longer classified as anxiety disorders in the recent revision of the Diagnostic and Statistical Manual of Mental Disorders-5; however, excessive anxiety is central to the symptomatology of both disorders. These anxiety-related disorders are associated with a diminished sense of well-being, elevated rates of unemployment and relationship breakdown, and elevated suicide risk [1–3]. Together, they have a lifetime prevalence in the USA of 29 % [4], the highest of any mental disorder, and constitute an immense social and economic burden [5, 6].
Currently available pharmacological treatments include serotonin reuptake inhibitors, serotonin–norepinephrine reuptake inhibitors, benzodiazepines, monoamine oxidase inhibitors, tricyclic antidepressant drugs, and partial 5-hydroxytryptamine (5-HT)1A receptor agonists. Anticonvulsants and atypical antipsychotics are also used to treat PTSD. These medications are associated with limited response rates and residual symptoms, particularly in PTSD, and adverse effects may also limit tolerability and adherence [7–10]. The substantial burden of anxiety-related disorders and the limitations of current treatments place a high priority on developing novel pharmaceutical treatments.
Cannabidiol (CBD) is a phytocannabinoid constituent of Cannabis sativa that lacks the psychoactive effects of ∆9-tetrahydrocannabinol (THC). CBD has broad therapeutic properties across a range of neuropsychiatric disorders, stemming from diverse central nervous system actions [11, 12]. In recent years, CBD has attracted increasing interest as a potential anxiolytic treatment [13–15]. The purpose of this review is to assess evidence from current preclinical, clinical, and epidemiological studies pertaining to the potential risks and benefits of CBD as a treatment for anxiety disorders.
Methods
A search of MEDLINE (PubMed), PsycINFO, Web of Science Scopus, and the Cochrane Library databases was conducted for English-language papers published up to 1 January 2015, using the search terms “cannabidiol” and “anxiety” or “fear” or “stress” or “anxiety disorder” or “generalized anxiety disorder” or “social anxiety disorder” or “social phobia” or “post-traumatic stress disorder” or “panic disorder” or “obsessive compulsive disorder”. In total, 49 primary preclinical, clinical, or epidemiological studies were included. Neuroimaging studies that documented results from anxiety-related tasks, or resting neural activity, were included. Epidemiological or clinical studies that assessed CBD’s effects on anxiety symptoms, or the potential protective effects of CBD on anxiety symptoms induced by cannabis use (where the CBD content of cannabis is inferred via a higher CBD:THC ratio), were included.
CBD Pharmacology Relevant to Anxiety
General Pharmacology and Therapeutic Profile
Cannabis sativa, a species of the Cannabisgenus of flowering plants, is one of the most frequently used illicit recreational substances in Western culture. The 2 major phyto- cannabinoid constituents with central nervous system activity are THC, responsible for the euphoric and mind-altering effects, and CBD, which lacks these psychoactive effects. Preclinical and clinical studies show CBD possesses a wide range of therapeutic properties, including antipsychotic, analgesic, neuroprotective, anticonvulsant, antiemetic, antioxidant, anti-inflammatory, antiarthritic, and antineoplastic properties (see [11, 12, 16–19] for reviews). A review of potential side effects in humans found that CBD was well tolerated across a wide dose range, up to 1500 mg/day (orally), with no reported psychomotor slowing, negative mood effects, or vital sign abnormalities noted [20].
CBD has a broad pharmacological profile, including interactions with several receptors known to regulate fear and anxiety-related behaviors, specifically the cannabinoid type 1 receptor (CB1R), the serotonin 5-HT1A receptor, and the transient receptor potential (TRP) vanilloid type 1 (TRPV1) receptor [11, 12, 19, 21]. In addition, CBD may also regulate, directly or indirectly, the peroxisome proliferator-activated receptor-γ, the orphan G-protein-coupled receptor 55, the equilibrative nucleoside transporter, the adenosine transporter, additional TRP channels, and glycine receptors [11, 12, 19, 21]. In the current review of primary studies, the following receptor-specific actions were found to have been investigated as potential mediators of CBD’s anxiolytic action: CB1R, TRPV1 receptors, and 5-HT1A receptors. Pharmacology relevant to these actions is detailed below.
The Endocannabinoid System
Following cloning of the endogenous receptor for THC, namely the CB1R, endogenous CB1R ligands, or “endocannabinoids” (eCBs) were discovered, namely anandamide (AEA) and 2-arachidonoylglycerol (reviewed in [22]). The CB1R is an inhibitory Gi/oprotein-coupled receptor that is mainly localized to nerve terminals, and is expressed on both γ-aminobutryic acid-ergic and glutamatergic neurons. eCBs are fatty acid derivatives that are synthesized on demand in response to neuronal depolarization and Ca2+ influx, via cleavage of membrane phospholipids. The primary mechanism by which eCBs regulate synaptic function is retrograde signaling, wherein eCBs produced by depolarization of the postsynaptic neuron activate presynaptic CB1Rs, leading to inhibition of neurotransmitter release [23]. The “eCB system” includes AEA and 2-arachidonoylglycerol; their respective degradative enzymes fatty acid amide hydroxylase (FAAH) and monoacylglycerol lipase; the CB1R and related CB2 receptor (the latter expressed mainly in the periphery); as well as several other receptors activated by eCBs, including the TRPV1 receptor, peroxisome proliferator-activated receptor-γ, and G protein-coupled 55 receptor, which functionally interact with CB1R signaling (reviewed in [21, 24]). Interactions with the TRPV1 receptor, in particular, appear to be critical in regulating the extent to which eCB release leads to inhibition or facilitation of presynaptic neurotransmitter release [25]. The TRPV1 receptor is a postsynaptic cation channel that underlies sensation of noxious heat in the periphery, with capsacin (hot chili) as an exogenous ligand. TRPV1 receptors are also expressed in the brain, including the amygdala, periaqueductal grey, hippocampus, and other areas [26, 27]. The eCB system regulates diverse physiological functions, including caloric energy balance and immune function [28]. The eCB system is also integral to regulation of emotional behavior, being essential to forms of synaptic plasticity that determine learning and response to emotionally salient, particularly highly aversive events [29, 30]. Activation of CB1Rs produces anxiolytic effects in various models of unconditioned fear, relevant to multiple anxiety disorder symptom domains (reviewed in [30–33]). Regarding conditioned fear, the effect of CB1R activation is complex: CB1R activation may enhance or reduce fear expression, depending on brain locus and the eCB ligand [34]; however, CB1R activation potently enhances fear extinction [35], and can prevent fear reconsolidation. Genetic manipulations that impede CB1R activation are anxiogenic [35], and individuals with eCB system gene polymorphisms that reduce eCB tone—for example, FAAH gene polymorphisms—exhibit physiological, psychological, and neuroimaging features consistent with impaired fear regulation [36]. Reduction of AEA–CB1R signaling in the amygdala mediates the anxiogenic effects of corticotropin-releasing hormone [37], and CB1R activation is essential to negative feedback of the neuroendocrine stress response, and protects against the adverse effects of chronic stress [38, 39]. Finally, chronic stress impairs eCB signaling in the hippocampus and amygdala, leading to anxiety [40, 41], and people with PTSD show elevated CB1R availability and reduced peripheral AEA, suggestive of reduced eCB tone [42].
Accordingly, CB1R activation has been suggested as a target for anxiolytic drug development [15, 43, 44]. Proposed agents for enhancing CB1R activation include THC, which is a potent and direct agonist; synthetic CB1R agonists; FAAH inhibitors and other agents that increase eCB availability, as well as nonpsychoactive cannabis phytocannabinoids, including CBD. While CBD has low affinity for the CB1R, it functions as an indirect agonist, potentially via augmentation of CB1R constitutional activity, or via increasing AEA through FAAH inhibition (reviewed in [21]). Several complexities of the eCB system may impact upon the potential of CBD and other CB1R-activating agents to serve as anxiolytic drugs. First, CB1R agonists, including THC and AEA, have a biphasic effect: low doses are anxiolytic, but higher doses are ineffective or anxiogenic, in both preclinical models in and humans (reviewed in [33, 45]). This biphasic profile may stem from the capacity of CB1R agonists to also activate TRPV1 receptors when administered at a high, but not low dose, as demonstrated for AEA [46]. Activation of TRPV1 receptors is predominantly anxiogenic, and thus a critical balance of eCB levels, determining CB1 versus TRPV1 activation, is proposed to govern emotional behavior [27, 47]. CBD acts as a TRPV1 agonist at high concentrations, potentially by interfering with AEA inactivation [48]. In addition to dose-dependent activation of TRPV1 channels, the anxiogenic versus anxiolytic balance of CB1R agonists also depends on dynamic factors, including environmental stressors [33, 49].
5-HT1A Receptors
The 5-HT1A receptor (5-HT1AR) is an established anxiolytic target. Buspirone and other 5-HT1AR agonists are approved for the treatment of GAD, with fair response rates [50]. In preclinical studies, 5-HT1AR agonists are anxiolytic in animal models of general anxiety [51], prevent the adverse effects of stress [52], and enhance fear extinction [53]. Both pre- and postsynaptic 5-HT1ARs are coupled to various members of the Gi/o protein family. They are expressed on serotonergic neurons in the raphe, where they exert autoinhibitory function, and various other brain areas involved in fear and anxiety [54, 55]. Mechanisms underlying the anxiolytic effects of 5-HT1AR activation are complex, varying between both brain region, and pre- versus postsynaptic locus, and are not fully established [56]. While in vitro studies suggest CBD acts as a direct 5-HT1AR agonist [57], in vivo studies are more consistent with CBD acting as an allosteric modulator, or facilitator of 5-HT1A signaling [58].
Preclinical Evaluations
Generalized Anxiety Models
Relevant studies in animal models are summarized in chronological order in Table Table1.1. CBD has been studied in a wide range of animal models of general anxiety, including the elevated plus maze (EPM), the Vogel-conflict test (VCT), and the elevated T maze (ETM). See Table Table11 for the anxiolytic effect specific to each paradigm. Initial studies of CBD in these models showed conflicting results: high (100 mg/kg) doses were ineffective, while low (10 mg/kg) doses were anxiolytic [59, 60]. When tested over a wide range of doses in further studies, the anxiolytic effects of CBD presented a bell-shaped dose–response curve, with anxiolytic effects observed at moderate but not higher doses [61, 90]. All further studies of acute systemic CBD without prior stress showed anxiolytic effects or no effect [62, 65], the latter study involving intracerebroventricular rather than the intraperitoneal route. No anxiogenic effects of acute systemic CBD dosing in models of general anxiety have yet been reported. As yet, few studies have examined chronic dosing effects of CBD in models of generalized anxiety. Campos et al. [66] showed that in rat, CBD treatment for 21 days attenuated inhibitory avoidance acquisition [83]. Long et al. [69] showed that, in mouse, CBD produced moderate anxiolytic effects in some paradigms, with no effects in others.

Preclinical studies
Anxiolytic effects of CBD in models of generalized anxiety have been linked to specific receptor mechanisms and brain regions. The midbrain dorsal periaqueductal gray (DPAG) is integral to anxiety, orchestrating autonomic and behavioral responses to threat [91], and DPAG stimulation in humans produces feelings of intense distress and dread [92]. Microinjection of CBD into the DPAG produced anxiolytic effects in the EPM, VGC, and ETM that were partially mediated by activation of 5-HT1ARs but not by CB1Rs [65, 68]. The bed nucleus of the stria terminalis (BNST) serves as a principal output structure of the amygdaloid complex to coordinate sustained fear responses, relevant to anxiety [93]. Anxiolytic effects of CBD in the EPM and VCT occurred upon microinjection into the BNST, where they depended on 5-HT1AR activation [79], and also upon microinjection into the central nucleus of the amygdala [78]. In the prelimbic cortex, which drives expression of fear responses via connections with the amygdala [94], CBD had more complex effects: in unstressed rats, CBD was anxiogenic in the EPM, partially via 5-HT1AR receptor activation; however, following acute restraint stress, CBD was anxiolytic [87]. Finally, the anxiolytic effects of systemic CBD partially depended on GABAA receptor activation in the EPM model but not in the VCT model [61, 62].
As noted, CBD has been found to have a bell-shaped response curve, with higher doses being ineffective. This may reflect activation of TRPV1 receptors at higher dose, as blockade of TRPV1 receptors in the DPAG rendered a previously ineffective high dose of CBD as anxiolytic in the EPM [66]. Given TRPV1 receptors have anxiogenic effects, this may indicate that at higher doses, CBD’s interaction with TRPV1 receptors to some extent impedes anxiolytic actions, although was notably not sufficient to produce anxiogenic effects.
Stress-induced Anxiety Models
Stress is an important contributor to anxiety disorders, and traumatic stress exposure is essential to the development of PTSD. Systemically administered CBD reduced acute increases in heart rate and blood pressure induced by restraint stress, as well as the delayed (24 h) anxiogenic effects of stress in the EPM, partially by 5-HT1AR activation [67, 73]. However intra-BNST microinjection of CBD augmentedstress-induced heart rate increase, also partially via 5-HT1AR activation [85]. In a subchronic study, CBD administered daily 1 h after predator stress (a proposed model of PTSD) reduced the long-lasting anxiogenic effects of chronic predator stress, partially via 5-HT1AR activation [77]. In a chronic study, systemic CBD prevented increased anxiety produced by chronic unpredictable stress, in addition to increasing hippocampal AEA; these anxiolytic effects depended upon CB1R activation and hippocampal neurogenesis, as demonstrated by genetic ablation techniques [81]. Prior stress also appears to modulate CBD’s anxiogenic effects: microinjection of CBD into the prelimbic cortex of unstressed animals was anxiogenic in the EPM but following restraint stress was found to be anxiolytic [87]. Likewise, systemic CBD was anxiolytic in the EPM following but not prior to stress [65].
PD and Compulsive Behavior Models
CBD inhibited escape responses in the ETM and increased DPAG escape electrical threshold [68], both proposed models of panic attacks [95]. These effects partially depended on 5-HT1AR activation but were not affected by CB1R blockade. CBD was also panicolytic in the predator–prey model, which assesses explosive escape and defensive immobility in response to a boa constrictor snake, also partially via 5-HT1AR activation; however, more consistent with an anxiogenic effect, CBD was also noted to decrease time spent outside the burrow and increase defensive attention (not shown in Table Table1)1) [75, 86] . Finally, CBD, partially via CB1Rs, decreased defensive immobility and explosive escape caused by bicuculline-induced neuronal activation in the superior colliculus [89]. Anticompulsive effects of CBD were investigated in marble-burying behavior, conceptualized to model OCD [96]. Acute systemic CBD reduced marble-burying behavior for up to 7 days, with no attenuation in effect up to high (120 mg/kg) doses, and effect shown to depend on CB1Rs but not 5-HT1ARs [71, 74, 88].
Contextual Fear Conditioning, Fear Extinction, and Reconsolidation Blockade
Several studies assessed CBD using contextual fear conditioning. Briefly, this paradigm involves pairing a neutral context, the conditioned stimulus (CS), with an aversive unconditioned stimulus (US), a mild foot shock. After repeated pairings, the subject learns that the CS predicts the US, and subsequent CS presentation elicits freezing and other physiological responses. Systemic administration of CBD prior to CS re-exposure reduced conditioned cardiovascular responses [63], an effect reproduced by microinjection of CBD into the BNST, and partially mediated by 5-HT1AR activation [79]. Similarly, CBD in the prelimbic cortex reduced conditioned freezing [70], an effect prevented by 5-HT1AR blockade [87]. By contrast, CBD microinjection in the infralimbic cortex enhanced conditioned freezing [70]. Finally, El Batsh et al. [80] reported that repeated CBD doses over 21 days, that is chronic as opposed to acute treatment, facilitated conditioned freezing. In this study, CBD was administered prior to conditioning rather than prior to re-exposure as in acute studies, thus further directly comparable studies are required.
CBD has also been shown to enhance extinction of contextually conditioned fear responses. Extinction training involves repeated CS exposure in the absence of the US, leading to the formation of a new memory that inhibits fear responses and a decline in freezing over subsequent training sessions. Systemic CBD administration immediately before training markedly enhanced extinction, and this effect depended on CB1R activation, without involvement of TRPV1 receptors [65]. Further studies showed CB1Rs in the infralimbic cortex may be involved in this effect [82].
CBD also blocked reconsolidation of aversive memories in rat [76]. Briefly, fear memories, when reactivated by re-exposure (retrieval), enter into a labile state in which the memory trace may either be reconsolidated or extinguished [97], and this process may be pharmacologically modulated to achieve reconsolidation blockade or extinction. When administered immediately following retrieval, CBD prevented freezing to the conditioned context upon further re-exposure, and no reinstatement or spontaneous recovery was observed over 3 weeks, consistent with reconsolidation blockade rather than extinction [76]. This effect depended on CB1R activation but not 5-HT1AR activation [76].
Summary and Clinical Relevance
Overall, existing preclinical evidence strongly supports the potential of CBD as a treatment for anxiety disorders. CBD exhibits a broad range of actions, relevant to multiple symptom domains, including anxiolytic, panicolytic, and anticompulsive actions, as well as a decrease in autonomic arousal, a decrease in conditioned fear expression, enhancement of fear extinction, reconsolidation blockade, and prevention of the long-term anxiogenic effects of stress. Activation of 5-HT1ARs appears to mediate anxiolytic and panicolytic effects, in addition to reducing conditioned fear expression, although CB1R activation may play a limited role. By contrast, CB1R activation appears to mediate CBD’s anticompulsive effects, enhancement of fear extinction, reconsolidation blockade, and capacity to prevent the long-term anxiogenic consequences of stress, with involvement of hippocampal neurogenesis.
While CBD predominantly has acute anxiolytic effects, some species discrepancies are apparent. In addition, effects may be contingent on prior stress and vary according to brain region. A notable contrast between CBD and other agents that target the eCB system, including THC, direct CB1R agonists and FAAH inhibitors, is a lack of anxiogenic effects at a higher dose. Further receptor-specific studies may elucidate the receptor specific basis of this distinct dose response profile. Further studies are also required to establish the efficacy of CBD when administered in chronic dosing, as relatively few relevant studies exist, with mixed results, including both anxiolytic and anxiogenic outcomes.
Overall, preclinical evidence supports systemic CBD as an acute treatment of GAD, SAD, PD, OCD, and PTSD, and suggests that CBD has the advantage of not producing anxiogenic effects at higher dose, as distinct from other agents that enhance CB1R activation. In particular, results show potential for the treatment of multiple PTSD symptom domains, including reducing arousal and avoidance, preventing the long-term adverse effects of stress, as well as enhancing the extinction and blocking the reconsolidation of persistent fear memories.
Human Experimental and Clinical Studies
Evidence from Acute Psychological Studies
Relevant studies are summarized in Table Table2.2. The anxiolytic effects of CBD in humans were first demonstrated in the context of reversing the anxiogenic effects of THC. CBD reduced THC-induced anxiety when administered simultaneously with this agent, but had no effect on baseline anxiety when administered alone [99, 100]. Further studies using higher doses supported a lack of anxiolytic effects at baseline [101, 107]. By contrast, CBD potently reduces experimentally induced anxiety or fear. CBD reduced anxiety associated with a simulated public speaking test in healthy subjects, and in subjects with SAD, showing a comparable efficacy to ipsapirone (a 5-HT1AR agonist) or diazepam [98, 105]. CBD also reduced the presumed anticipatory anxiety associated with undergoing a single-photon emission computed tomography (SPECT) imaging procedure, in both healthy and SAD subjects [102, 104]. Finally, CBD enhanced extinction of fear memories in healthy volunteers: specifically, inhaled CBD administered prior to or after extinction training in a contextual fear conditioning paradigm led to a trend-level enhancement in the reduction of skin conductance response during reinstatement, and a significant reduction in expectancy (of shock) ratings during reinstatement [106].

Table 2
Human psychological studies
Evidence from Neuroimaging Studies
Relevant studies are summarized in Table Table3.3. In a SPECT study of resting cerebral blood flow (rCBF) in normal subjects, CBD reduced rCBF in left medial temporal areas, including the amygdala and hippocampus, as well as the hypothalamus and left posterior cingulate gyrus, but increased rCBF in the left parahippocampal gyrus. These rCBF changes were not correlated with anxiolytic effects [102]. In a SPECT study, by the same authors, in patients with SAD, CBD reduced rCBF in overlapping, but distinct, limbic and paralimbic areas; again, with no correlations to anxiolytic effects [104].

Table 3
Neuroimaging studies
In a series of placebo-controlled studies involving 15 healthy volunteers, Fusar-Poli et al. investigated the effects of CBD and THC on task-related blood-oxygen-level dependent functional magnetic resonance imaging activation, specifically the go/no-go and fearful faces tasks [109, 110]. The go/no-go task measures response inhibition, and is associated with activation of medial prefrontal, dorsolateral prefrontal, and parietal areas [111]. Response activation is diminished in PTSD and other anxiety disorders, and increased activation predicts response to treatment [112]. CBD produced no changes in predicted areas (relative to placebo) but reduced activation in the left insula, superior temporal gyrus, and transverse temporal gyrus. The fearful faces task activates the amygdala, and other medial temporal areas involved in emotion processing, and heightened amygdala response activation has been reported in anxiety disorders, including GAD and PTSD [113, 114]. CBD attenuated blood-oxygen-level dependent activation in the left amygdala, and the anterior and posterior cingulate cortex in response to intensely fearful faces, and also reduced amplitude in skin conductance fluctuation, which was highly correlated with amygdala activation [109]. Dynamic causal modeling analysis in this data set further showed CBD reduced forward functional connectivity between the amygdala and anterior cingulate cortex [110].
Evidence from Epidemiological and Chronic Studies
Epidemiological studies of various neuropsychiatric disorders indicate that a higher CBD content in chronically consumed cannabis may protect against adverse effects of THC, including psychotic symptoms, drug cravings, memory loss, and hippocampal gray matter loss [115–118] (reviewed in [119]). As THC acutely induces anxiety, this pattern may also be evident for chronic anxiety symptoms. Two studies were identified, including an uncontrolled retrospective study in civilian patients with PTSD patients [120], and a case study in a patient with severe sexual abuse-related PTSD [121], which showed that chronic cannabis use significantly reduces PTSD symptoms; however, these studies did not include data on the THC:CBD ratio. Thus, overall, no outcome data are currently available regarding the chronic effects of CBD in the treatment of anxiety symptoms, nor do any data exist regarding the potential protective effects of CBD on anxiety potentially induced by chronic THC use.
Summary and Clinical Relevance
Evidence from human studies strongly supports the potential for CBD as a treatment for anxiety disorders: at oral doses ranging from 300 to 600 mg, CBD reduces experimentally induced anxiety in healthy controls, without affecting baseline anxiety levels, and reduces anxiety in patients with SAD. Limited results in healthy subjects also support the efficacy of CBD in acutely enhancing fear extinction, suggesting potential for the treatment of PTSD, or for enhancing cognitive behavioral therapy. Neuroimaging findings provide evidence of neurobiological targets that may underlie CBD’s anxiolytic effects, including reduced amygdala activation and altered medial prefrontal amygdala connectivity, although current findings are limited by small sample sizes, and a lack of independent replication. Further studies are also required to establish whether chronic, in addition to acute CBD dosing is anxiolytic in human. Also, clinical findings are currently limited to SAD, whereas preclinical evidence suggests CBD’s potential to treat multiple symptom domains relevant to GAD, PD, and, particularly, PTSD.
Conclusions
Preclinical evidence conclusively demonstrates CBD’s efficacy in reducing anxiety behaviors relevant to multiple disorders, including PTSD, GAD, PD, OCD, and SAD, with a notable lack of anxiogenic effects. CBD’s anxiolytic actions appear to depend upon CB1Rs and 5-HT1ARs in several brain regions; however, investigation of additional receptor actions may reveal further mechanisms. Human experimental findings support preclinical findings, and also suggest a lack of anxiogenic effects, minimal sedative effects, and an excellent safety profile. Current preclinical and human findings mostly involve acute CBD dosing in healthy subjects, so further studies are required to establish whether chronic dosing of CBD has similar effects in relevant clinical populations. Overall, this review emphasizes the potential value and need for further study of CBD in the treatment of anxiety disorders.
Electronic supplementary material
Electronic supplementary material Below is the link to the electronic supplementary material.
ESM 1(523K, pdf) (PDF 523 kb)
ESM 2(506K, pdf) (PDF 505 kb)
ESM 3(532K, pdf) (PDF 532 kb)
ESM 4(515K, pdf) (PDF 514 kb)
Required Author Forms
Disclosure forms provided by the authors are available with the online version of this article.
Article information
Neurotherapeutics. 2015 Oct; 12(4): 825–836.
Published online 2015 Sep 4. doi: 10.1007/s13311-015-0387-1
PMCID: PMC4604171
PMID: 26341731
1New York University School of Medicine, New York, NY USA 2Instituto de Neurociencias de Alicante, Universidad Miguel Hernández and Consejo Superior de Investigaciones Científicas, Alicante, Spain Esther M. Blessing, Email: gro.cmuyn@gnisselb.rehtse. corresponding authorCorresponding author. Copyright © The American Society for Experimental NeuroTherapeutics, Inc. 2015 This article has been cited by other articles in PMC. Articles from Neurotherapeutics are provided here courtesy of Springer
References
1. Kroenke K, Spitzer RL, Williams JB, Monahan PO, Lowe B. Anxiety disorders in primary care: prevalence, impairment, comorbidity, and detection. Ann Intern Med. 2007;146:317–325. doi: 10.7326/0003-4819-146-5-200703060-00004. [PubMed] [CrossRef]
2. Khan A, Leventhal RM, Khan S, Brown WA. Suicide risk in patients with anxiety disorders: a meta-analysis of the FDA database. J Affect Disord. 2002;68:183–190. doi: 10.1016/S0165-0327(01)00354-8.[PubMed] [CrossRef]
3. Olatunji BO, Cisler JM, Tolin DF. Quality of life in the anxiety disorders: a meta-analytic review. Clin Psychol Rev. 2007;27:572–581. doi: 10.1016/j.cpr.2007.01.015. [PubMed] [CrossRef]
4. Kessler RC, Berglund P, Demler O, Jin R, Merikangas KR, Walters EE. Lifetime prevalence and age-of-onset distributions of DSM-IV disorders in the National Comorbidity Survey Replication. Arch Gen Psychiatry. 2005;62:593–602. doi: 10.1001/archpsyc.62.6.593. [PubMed] [CrossRef]
5. Wang PS, Lane M, Olfson M, Pincus HA, Wells KB, Kessler RC. Twelve-month use of mental health services in the United States: results from the National Comorbidity Survey Replication. Arch Gen Psychiatry. 2005;62:629–640. doi: 10.1001/archpsyc.62.6.629. [PubMed] [CrossRef]
6. Gustavsson A, Svensson M, Jacobi F, et al. Cost of disorders of the brain in Europe 2010. Eur Neuropsychopharmacol. 2011;21:718–779. doi: 10.1016/j.euroneuro.2011.08.008.[PubMed] [CrossRef]
7. Otto MW, Tuby KS, Gould RA, McLean RY, Pollack MH. An effect-size analysis of the relative efficacy and tolerability of serotonin selective reuptake inhibitors for panic disorder. Am J Psychiary. 2001;158:1989–1992. doi: 10.1176/appi.ajp.158.12.1989.[PubMed] [CrossRef]
8. Ballenger JC. Remission rates in patients with anxiety disorders treated with paroxetine. J Clin Psychiatry. 2004;65:1696–1707. doi: 10.4088/JCP.v65n1216. [PubMed] [CrossRef]
9. Krystal JH, Rosenheck RA, Cramer JA, et al. Adjunctive risperidone treatment for antidepressant-resistant symptoms of chronic military service-related PTSD: a randomized trial. JAMA. 2011;306:493–502. doi: 10.1001/jama.2011.1080. [PubMed] [CrossRef]
10. Shin HJ, Greenbaum MA, Jain S, Rosen CS. Associations of psychotherapy dose and SSRI or SNRI refills with mental health outcomes among veterans with PTSD. Psychiatr Serv. 2014;65:1244–1248. doi: 10.1176/appi.ps.201300234. [PubMed] [CrossRef]
11. Izzo AA, Borrelli F, Capasso R, Di Marzo V, Mechoulam R. Non-psychotropic plant cannabinoids: new therapeutic opportunities from an ancient herb. Trends Pharmacol Sci. 2009;30:515–527. doi: 10.1016/j.tips.2009.07.006. [PubMed] [CrossRef]
12. Campos AC, Moreira FA, Gomes FV, Del Bel EA, Guimaraes FS. Multiple mechanisms involved in the large-spectrum therapeutic potential of cannabidiol in psychiatric disorders. Philos Trans R Soc Lond Ser B Biol Sci. 2012;367:3364–3378. doi: 10.1098/rstb.2011.0389. [PMC free article][PubMed] [CrossRef]
13. Schier ARD, Ribeiro NP, Silva AC, et al. Cannabidiol, a Cannabis sativa constituent, as an anxiolytic drug. Rev Bras Psiquiatr. 2012;34:S104–S117. doi: 10.1016/S1516-4446(12)70057-0. [PubMed] [CrossRef]
14. Schier ARD, de Oliveira Ribeiro NP, Coutinho DS, et al. Antidepressant-like and anxiolytic-like effects of cannabidiol: A chemical compound of Cannabis sativa. CNS Neurol Disord Drug Targets. 2014;13:953–960. doi: 10.2174/1871527313666140612114838.[PubMed] [CrossRef]
15. Micale V, Di Marzo V, Sulcova A, Wotjak CT, Drago F. Endocannabinoid system and mood disorders: priming a target for new therapies. Pharmacol Ther. 2013;138:18–37. doi: 10.1016/j.pharmthera.2012.12.002.[PubMed] [CrossRef]
16. Mechoulam R, Peters M, Murillo-Rodriguez E, Hanus LO. Cannabidiol—recent advances. Chem Biodivers. 2007;4:1678–1692. doi: 10.1002/cbdv.200790147. [PubMed] [CrossRef]
17. Marco EM, Garcia-Gutierrez MS, Bermudez-Silva FJ, et al. Endocannabinoid system and psychiatry: in search of a neurobiological basis for detrimental and potential therapeutic effects. Front Behav Neurosci. 2011;5:63. doi: 10.3389/fnbeh.2011.00063. [PMC free article][PubMed] [CrossRef]
18. Devinsky O, Cilio MR, Cross H, et al. Cannabidiol: Pharmacology and potential therapeutic role in epilepsy and other neuropsychiatric disorders. Epilepsia. 2014;55:791–802. doi: 10.1111/epi.12631.[PMC free article] [PubMed] [CrossRef]
19. Robson PJ, Guy GW, Di Marzo V. Cannabinoids and schizophrenia: therapeutic prospects. Curr Pharm Design. 2014;20:2194–2204. doi: 10.2174/13816128113199990427.[PubMed] [CrossRef]
20. Bergamaschi MM, Queiroz RH, Zuardi AW, Crippa JA. Safety and side effects of cannabidiol, a Cannabis sativa constituent. Curr Drug Saf. 2011;6:237–249. doi: 10.2174/157488611798280924. [PubMed] [CrossRef]
21. McPartland JM, Duncan M, Di Marzo V, Pertwee RG. Are cannabidiol and Delta(9) -tetrahydrocannabivarin negative modulators of the endocannabinoid system? A systematic review. Br J Pharmacol. 2015;172:737–753. doi: 10.1111/bph.12944. [PMC free article][PubMed] [CrossRef]
22. Di Marzo V, Bisogno T, De Petrocellis L. Anandamide: Some like it hot. Trends Pharmacol Sci. 2001;22:346–349. doi: 10.1016/S0165-6147(00)01712-0. [PubMed] [CrossRef]
23. Wilson RI, Nicoll RA. Endocannabinoid signaling in the brain. Science. 2002;296:678–682. doi: 10.1126/science.1063545. [PubMed] [CrossRef]
24. Battista N, Di Tommaso M, Bari M, Maccarrone M. The endocannabinoid system: An overview. Front Behav Neurosci. 2012;6:9. doi: 10.3389/fnbeh.2012.00009.[PMC free article] [PubMed] [CrossRef]
25. Lee SH, et al. Multiple forms of endocannabinoid and endovanilloid signaling regulate the tonic control of GABA release. J Neurosci. 2015;35:10039–10057. doi: 10.1523/JNEUROSCI.4112-14.2015.[PMC free article] [PubMed] [CrossRef]
26. Kauer JA, Gibson HE. Hot flash: TRPV channels in the brain. Trends Neurosci. 2009;32:215–224. doi: 10.1016/j.tins.2008.12.006. [PubMed] [CrossRef]
27. Aguiar DC, Moreira FA, Terzian AL, et al. Modulation of defensive behavior by transient receptor potential vanilloid type-1 (TRPV1) channels. Neurosci Biobehav Rev. 2014;46:418–428. doi: 10.1016/j.neubiorev.2014.03.026. [PubMed] [CrossRef]
28. Silvestri C, Di Marzo V. The endocannabinoid system in energy homeostasis and the etiopathology of metabolic disorders. Cell Metab. 2013;17:475–490. doi: 10.1016/j.cmet.2013.03.001.[PubMed] [CrossRef]
29. Castillo PE, Younts TJ, Chavez AE, Hashimotodani Y. Endocannabinoid signaling and synaptic function. Neuron. 2012;76:70–81. doi: 10.1016/j.neuron.2012.09.020.[PMC free article] [PubMed] [CrossRef]
30. Riebe CJ, Pamplona FA, Kamprath K, Wotjak CT. Fear relief-toward a new conceptual frame work and what endocannabinoids gotta do with it. Neuroscience. 2012;204:159–185. doi: 10.1016/j.neuroscience.2011.11.057. [PubMed] [CrossRef]
31. McLaughlin RJ, Hill MN, Gorzalka BB. A critical role for prefrontocortical endocannabinoid signaling in the regulation of stress and emotional behavior. Neurosci Biobehav Rev. 2014;42:116–131. doi: 10.1016/j.neubiorev.2014.02.006. [PubMed] [CrossRef]
32. Moreira FA, Lutz B. The endocannabinoid system: emotion, learning and addiction. Addict Biol. 2008;13:196–212. doi: 10.1111/j.1369-1600.2008.00104.x. [PubMed] [CrossRef]
33. Ruehle S, Rey AA, Remmers F, Lutz B. The endocannabinoid system in anxiety, fear memory and habituation. J Psychopharmacol. 2012;26:23–39. doi: 10.1177/0269881111408958. [PMC free article][PubMed] [CrossRef]
34. Llorente-Berzal A, Terzian AL, di Marzo V, Micale V, Viveros MP, Wotjak CT. 2-AG promotes the expression of conditioned fear via cannabinoid receptor type 1 on GABAergic neurons. Psychopharmacology. 2015;232:2811–2825. doi: 10.1007/s00213-015-3917-y. [PubMed] [CrossRef]
35. Marsicano G, Wotjak CT, Azad SC, et al. The endogenous cannabinoid system controls extinction of aversive memories. Nature. 2002;418:530–534. doi: 10.1038/nature00839. [PubMed] [CrossRef]
36. Dincheva I, Drysdale AT, Hartley CA. FAAH genetic variation enhances fronto-amygdala function in mouse and human. Nat Commun. 2015;6:6395. doi: 10.1038/ncomms7395. [PMC free article][PubMed] [CrossRef]
37. Gray JM, Vecchiarelli HA, Morena M, et al. Corticotropin-releasing hormone drives anandamide hydrolysis in the amygdala to promote anxiety. J Neurosci. 2015;35:3879–3892. doi: 10.1523/JNEUROSCI.2737-14.2015.[PMC free article] [PubMed] [CrossRef]
38. Evanson NK, Tasker JG, Hill MN, Hillard CJ, Herman JP. Fast feedback inhibition of the HPA axis by glucocorticoids is mediated by endocannabinoid signaling. Endocrinology. 2010;151:4811–4819. doi: 10.1210/en.2010-0285. [PMC free article] [PubMed] [CrossRef]
39. Abush H, Akirav I. Cannabinoids ameliorate impairments induced by chronic stress to synaptic plasticity and short-term memory. Neuropsychopharmacology. 2013;38:1521–1534. doi: 10.1038/npp.2013.51.[PMC free article] [PubMed] [CrossRef]
40. Hill MN, Patel S, Carrier EJ, et al. Downregulation of endocannabinoid signaling in the hippocampus following chronic unpredictable stress. Neuropsychopharmacology. 2005;30:508–515. doi: 10.1038/sj.npp.1300601. [PubMed] [CrossRef]
41. Qin Z, Zhou X, Pandey NR, et al. Chronic stress induces anxiety via an amygdalar intracellular cascade that impairs endocannabinoid signaling. Neuron. 2015;85:1319–1331. doi: 10.1016/j.neuron.2015.02.015. [PubMed] [CrossRef]
42. Neumeister A. The endocannabinoid system provides an avenue for evidence-based treatment development for PTSD. Depress Anxiety. 2013;30:93–96. doi: 10.1002/da.22031. [PubMed] [CrossRef]
43. Papini S, Sullivan GM, Hien DA, Shvil E, Neria Y. Toward a translational approach to targeting the endocannabinoid system in posttraumatic stress disorder: a critical review of preclinical research. Biol Psychol. 2015;104:8–18. doi: 10.1016/j.biopsycho.2014.10.010.[PMC free article] [PubMed] [CrossRef]
44. Ragen BJ, Seidel J, Chollak C, Pietrzak RH, Neumeister A. Investigational drugs under development for the treatment of PTSD. Exp Opin Invest Drugs. 2015;24:659–672. doi: 10.1517/13543784.2015.1020109. [PubMed] [CrossRef]
45. Viveros MP, Marco EM, File SE. Endocannabinoid system and stress and anxiety responses. Pharmacol Biochem Behav. 2005;81:331–342. doi: 10.1016/j.pbb.2005.01.029. [PubMed] [CrossRef]
46. Rubino T, Realini N, Castiglioni C, et al. Role in anxiety behavior of the endocannabinoid system in the prefrontal cortex. Cereb Cortex. 2008;18:1292–1301. doi: 10.1093/cercor/bhm161. [PubMed] [CrossRef]
47. Moreira FA, Aguiar DC, Terzian AL, Guimaraes FS, Wotjak CT. Cannabinoid type 1 receptors and transient receptor potential vanilloid type 1 channels in fear and anxiety-two sides of one coin? Neuroscience. 2012;204:186–192. doi: 10.1016/j.neuroscience.2011.08.046. [PubMed] [CrossRef]
48. Bisogno T, Hanus L, De Petrocellis L, et al. Molecular targets for cannabidiol and its synthetic analogues: effect on vanilloid VR1 receptors and on the cellular uptake and enzymatic hydrolysis of anandamide. Br J Pharmacol. 2001;134:845–852. doi: 10.1038/sj.bjp.0704327. [PMC free article][PubMed] [CrossRef]
49. Haller J, et al. Interactions between environmental aversiveness and the anxiolytic effects of enhanced cannabinoid signaling by FAAH inhibition in rats. Psychopharmacology. 2009;204:607–616. doi: 10.1007/s00213-009-1494-7. [PMC free article][PubMed] [CrossRef]
50. Chessick CA, Allen MH, Thase M, et al. Azapirones for generalized anxiety disorder. Cochrane Database Syst Rev 2006;CD006115. [PubMed]
51. Roncon CM, Biesdorf C, Coimbra NC, et al. Cooperative regulation of anxiety and panic-related defensive behaviors in the rat periaqueductal grey matter by 5-HT1A and mu-receptors. J Psychopharmacol. 2013;27:1141–1148. doi: 10.1177/0269881113485144. [PubMed] [CrossRef]
52. Zhou J, Cao X, Mar AC, et al. Activation of postsynaptic 5-HT1A receptors improve stress adaptation. Psychopharmacology. 2014;231:2067–2075. doi: 10.1007/s00213-013-3350-z. [PubMed] [CrossRef]
53. Saito Y, Matsumoto M, Yanagawa Y, et al. Facilitation of fear extinction by the 5-HT(1A) receptor agonist tandospirone: possible involvement of dopaminergic modulation. Synapse. 2013;67:161–170. doi: 10.1002/syn.21621. [PubMed] [CrossRef]
54. Sprouse JS, Aghajanian GK. Electrophysiological responses of serotoninergic dorsal raphe neurons to 5-HT1A and 5-HT1B agonists. Synapse. 1987;1:3–9. doi: 10.1002/syn.890010103.[PubMed] [CrossRef]
55. Sun YN, Wang T, Wang Y, et al. Activation of 5-HT receptors in the medial subdivision of the central nucleus of the amygdala produces anxiolytic effects in a rat model of Parkinson’s disease. Neuropharmacology. 2015;95:181–191. doi: 10.1016/j.neuropharm.2015.03.007. [PubMed] [CrossRef]
56. Celada P, Bortolozzi A, Artigas F. Serotonin 5-HT1A receptors as targets for agents to treat psychiatric disorders: rationale and current status of research. CNS Drugs. 2013;27:703–716. doi: 10.1007/s40263-013-0071-0. [PubMed] [CrossRef]
57. Russo EB, Burnett A, Hall B, Parker KK. Agonistic properties of cannabidiol at 5-HT1a receptors. Neurochem Res. 2005;30:1037–1043. doi: 10.1007/s11064-005-6978-1.[PubMed] [CrossRef]
58. Rock EM, Bolognini D, Limebeer CL, et al. Cannabidiol, a non-psychotropic component of cannabis, attenuates vomiting and nausea-like behaviour via indirect agonism of 5-HT(1A) somatodendritic autoreceptors in the dorsal raphe nucleus. Br J Pharmacol. 2012;165:2620–2634. doi: 10.1111/j.1476-5381.2011.01621.x. [PMC free article][PubMed] [CrossRef]
59. Silveira Filho NG, Tufik S. Comparative effects between cannabidiol and diazepam on neophobia, food intake and conflict behavior. Res Commun Psychol Psychiatry Behav. 1981;6:25–26.
60. Zuardi AW, Finkelfarb E, Bueno OF, Musty RE, Karniol IG. Characteristics of the stimulus produced by the mixture of cannabidiol with delta 9-tetrahydrocannabinol. Arch Int Pharmacodyn Ther. 1981;249:137–146.[PubMed]
61. Onaivi ES, Green MR, Martin BR. Pharmacological characterization of cannabinoids in the elevated plus maze. J Pharmacol Exp Ther. 1990;253:1002–1009.[PubMed]
62. Moreira FA, Aguiar DC, Guimaraes FS. Anxiolytic-like effect of cannabidiol in the rat Vogel conflict test. Prog Neuropsychopharmacol Biol Psychiatry. 2006;30:1466–1471. doi: 10.1016/j.pnpbp.2006.06.004. [PubMed] [CrossRef]
63. Resstel LB, Joca SR, Moreira FA, Correa FM, Guimaraes FS. Effects of cannabidiol and diazepam on behavioral and cardiovascular responses induced by contextual conditioned fear in rats. Behav Brain Res. 2006;172:294–298. doi: 10.1016/j.bbr.2006.05.016. [PubMed] [CrossRef]
64. Campos AC, Guimaraes FS. Involvement of 5HT1A receptors in the anxiolytic-like effects of cannabidiol injected into the dorsolateral periaqueductal gray of rats. Psychopharmacology (Berl) 2008;199:223–230. doi: 10.1007/s00213-008-1168-x.[PubMed] [CrossRef]
65. Bitencourt RM, Pamplona FA, Takahashi RN. Facilitation of contextual fear memory extinction and anti-anxiogenic effects of AM404 and cannabidiol in conditioned rats. Eur Neuropsychopharmacol. 2009;18:849–859. doi: 10.1016/j.euroneuro.2008.07.001.[PubMed] [CrossRef]
66. Campos AC, Guimaraes FS. Evidence for a potential role for TRPV1 receptors in the dorsolateral periaqueductal gray in the attenuation of the anxiolytic effects of cannabinoids. Prog Neuropsychopharmacol Biol Psychiatry. 2009;33:1517–1521. doi: 10.1016/j.pnpbp.2009.08.017. [PubMed] [CrossRef]
67. Resstel LB, Tavares RF, Lisboa SF, et al. 5-HT1A receptors are involved in the cannabidiol-induced attenuation of behavioural and cardiovascular responses to acute restraint stress in rats. Br J Pharmacol. 2009;156:181–188. doi: 10.1111/j.1476-5381.2008.00046.x. [PMC free article][PubMed] [CrossRef]
68. Soares Vde P, Campos AC, Bortoli VC, et al. Intra-dorsal periaqueductal gray administration of cannabidiol blocks panic-like response by activating 5-HT1A receptors. Behav Brain Res. 2010;213:225–229. doi: 10.1016/j.bbr.2010.05.004. [PubMed] [CrossRef]
69. Long LE, Chesworth R, Huang XF. A behavioural comparison of acute and chronic Delta9-tetrahydrocannabinol and cannabidiol in C57BL/6JArc mice. Int J Neuropsychopharmacol. 2010;13:861–876. doi: 10.1017/S1461145709990605. [PubMed] [CrossRef]
70. Lemos JI, Resstel LB, Guimaraes FS. Involvement of the prelimbic prefrontal cortex on cannabidiol-induced attenuation of contextual conditioned fear in rats. Behav Brain Res. 2010;207:105–111. doi: 10.1016/j.bbr.2009.09.045. [PubMed] [CrossRef]
71. Casarotto PC, Gomes FV, Resstel LB, Guimaraes FS. Cannabidiol inhibitory effect on marble-burying behaviour: involvement of CB1 receptors. Behav Pharmacol. 2010;21:353–358. doi: 10.1097/FBP.0b013e32833b33c5. [PubMed] [CrossRef]
72. Gomes FV, Resstel LB, Guimaraes FS. The anxiolytic-like effects of cannabidiol injected into the bed nucleus of the stria terminalis are mediated by 5-HT1A receptors. Psychopharmacology (Berl) 2011;213:465–473. doi: 10.1007/s00213-010-2036-z.[PubMed] [CrossRef]
73. Granjeiro EM, Gomes FV, Guimaraes FS, Correa FM, Resstel LB. Effects of intracisternal administration of cannabidiol on the cardiovascular and behavioral responses to acute restraint stress. Pharmacol Biochem Behav. 2011;99:743–748. doi: 10.1016/j.pbb.2011.06.027. [PubMed] [CrossRef]
74. Deiana S, Watanabe A, Yamasaki Y. Plasma and brain pharmacokinetic profile of cannabidiol (CBD), cannabidivarine (CBDV), Delta(9)-tetrahydrocannabivarin (THCV) and cannabigerol (CBG) in rats and mice following oral and intraperitoneal administration and CBD action on obsessive-compulsive behaviour. Psychopharmacology (Berl) 2012;219:859–873. doi: 10.1007/s00213-011-2415-0. [PubMed] [CrossRef]
75. Uribe-Marino A, et al. Anti-aversive effects of cannabidiol on innate fear-induced behaviors evoked by an ethological model of panic attacks based on a prey vs the wild snake Epicrates cenchria crassus confrontation paradigm. Neuropsychopharmacology. 2012;37:412–421. doi: 10.1038/npp.2011.188. [PMC free article][PubMed] [CrossRef]
76. Stern CA, Gazarini L, Takahashi RN, Guimaraes FS, Bertoglio LJ. On disruption of fear memory by reconsolidation blockade: evidence from cannabidiol treatment. Neuropsychopharmacology. 2012;37:2132–2142. doi: 10.1038/npp.2012.63.[PMC free article] [PubMed] [CrossRef]
77. Campos AC, Ferreira FR, Guimaraes FS. Cannabidiol blocks long-lasting behavioral consequences of predator threat stress: possible involvement of 5HT1A receptors. J Psychiatr Res. 2012;46:1501–1510. doi: 10.1016/j.jpsychires.2012.08.012. [PubMed] [CrossRef]
78. Hsiao YT, Yi PL, Li CL, Chang FC. Effect of cannabidiol on sleep disruption induced by the repeated combination tests consisting of open field and elevated plus-maze in rats. Neuropharmacology. 2012;62:373–384. doi: 10.1016/j.neuropharm.2011.08.013. [PubMed] [CrossRef]
79. Gomes FV, Resstel LB, Guimaraes FS, et al. Cannabidiol injected into the bed nucleus of the stria terminalis reduces the expression of contextual fear conditioning via 5-HT1A receptors. J Psychopharmacol. 2012;26:104–113. doi: 10.1177/0269881110389095.[PubMed] [CrossRef]
80. El Batsh MM, Assareh N, Marsden CA, Kendall DA. Anxiogenic-like effects of chronic cannabidiol administration in rats. Psychopharmacology (Berl) 2012;221:239–247. doi: 10.1007/s00213-011-2566-z.[PubMed] [CrossRef]
81. Campos AC, Ortega Z, Palazuelos J, et al. The anxiolytic effect of cannabidiol on chronically stressed mice depends on hippocampal neurogenesis: involvement of the endocannabinoid system. Int J Neuropsychopharmacol. 2013;16:1407–1419. doi: 10.1017/S1461145712001502. [PubMed] [CrossRef]
82. Do Monte FH, Souza RR, Bitencourt RM, Kroon JA, Takahashi RN. Infusion of cannabidiol into infralimbic cortex facilitates fear extinction via CB1 receptors. Behav Brain Res. 2013;250:23–27. doi: 10.1016/j.bbr.2013.04.045. [PubMed] [CrossRef]
83. Campos AC, de Paula Soares V, Carvalho MC, et al. Involvement of serotonin-mediated neurotransmission in the dorsal periaqueductal gray matter on cannabidiol chronic effects in panic-like responses in rats. Psychopharmacology (Berl) 2013;226:13–24. doi: 10.1007/s00213-012-2878-7. [PubMed] [CrossRef]
84. Almeida V, Levin R, Peres FF, et al. Cannabidiol exhibits anxiolytic but not antipsychotic property evaluated in the social interaction test. Prog Neuropsychopharmacol Biol Psychiatry. 2013;41:30–35. doi: 10.1016/j.pnpbp.2012.10.024. [PubMed] [CrossRef]
85. Gomes FV, Alves FH, Guimaraes FS, et al. Cannabidiol administration into the bed nucleus of the stria terminalis alters cardiovascular responses induced by acute restraint stress through 5-HT(1)A receptor. Eur Neuropsychopharmacol. 2013;23:1096–1104. doi: 10.1016/j.euroneuro.2012.09.007.[PubMed] [CrossRef]
86. Twardowschy A, Castiblanco-Urbina MA, Uribe-Marino A, et al. The role of 5-HT1A receptors in the anti-aversive effects of cannabidiol on panic attack-like behaviors evoked in the presence of the wild snake Epicrates cenchria crassus (Reptilia, Boidae) J Psychopharmacol. 2013;27:1149–1159. doi: 10.1177/0269881113493363. [PubMed] [CrossRef]
87. Fogaca MV, Reis FM, Campos AC, Guimaraes FS. Effects of intra-prelimbic prefrontal cortex injection of cannabidiol on anxiety-like behavior: involvement of 5HT1A receptors and previous stressful experience. Eur Neuropsychopharmacol. 2014;24:410–419. doi: 10.1016/j.euroneuro.2013.10.012.[PubMed] [CrossRef]
88. Nardo M, Casarotto PC, Gomes FV, Guimaraes FS. Cannabidiol reverses the mCPP-induced increase in marble-burying behavior. Fundam Clin Pharmacol. 2014;28:544–550. doi: 10.1111/fcp.12051.[PubMed] [CrossRef]
89. da Silva JA, Biagioni AF, Almada RC, et al. Dissociation between the panicolytic effect of cannabidiol microinjected into the substantia nigra, pars reticulata, and fear-induced antinociception elicited by bicuculline administration in deep layers of the superior colliculus: The role of CB-cannabinoid receptor in the ventral mesencephalon. Eur J Pharmacol. 2015;758:153–163. doi: 10.1016/j.ejphar.2015.03.051. [PubMed] [CrossRef]
90. Guimaraes FS, Chiaretti TM, Graeff FG, Zuardi AW. Antianxiety effect of cannabidiol in the elevated plus-maze. Psychopharmacology (Berl) 1990;100:558–559. doi: 10.1007/BF02244012. [PubMed] [CrossRef]
91. Bandler R, Shipley MT. Columnar organization in the midbrain periaqueductal gray: modules for emotional expression? Trends Neurosci. 1994;17:379–389. doi: 10.1016/0166-2236(94)90047-7. [PubMed] [CrossRef]
92. Nashold BS, Jr, Wilson WP, Slaughter DG. Sensations evoked by stimulation in the midbrain of man. J Neurosurg. 1969;30:14–24. doi: 10.3171/jns.1969.30.1.0014. [PubMed] [CrossRef]
93. Walker DL, Miles LA, Davis M. Selective participation of the bed nucleus of the stria terminalis and CRF in sustained anxiety-like versus phasic fear-like responses. Prog Neuropsychopharmacol Biol Psychiatry. 2009;33:1291–1308. doi: 10.1016/j.pnpbp.2009.06.022.[PMC free article] [PubMed] [CrossRef]
94. Sierra-Mercado D, Padilla-Coreano N, Quirk GJ. Dissociable roles of prelimbic and infralimbic cortices, ventral hippocampus, and basolateral amygdala in the expression and extinction of conditioned fear. Neuropsychopharmacology. 2011;36:529–538. doi: 10.1038/npp.2010.184. [PMC free article][PubMed] [CrossRef]
95. Schenberg LC, Bittencourt AS, Sudre EC, Vargas LC. Modeling panic attacks. Neurosci Biobehav Rev. 2001;25:647–659. doi: 10.1016/S0149-7634(01)00060-4. [PubMed] [CrossRef]
96. Thomas A, Burant A, Bui N, Graham D, Yuva-Paylor LA, Paylor R. Marble burying reflects a repetitive and perseverative behavior more than novelty-induced anxiety. Psychopharmacology (Berl) 2009;204:361–373. doi: 10.1007/s00213-009-1466-y.[PMC free article] [PubMed] [CrossRef]
97. Suzuki A, Josselyn SA, Frankland PW, et al. Memory reconsolidation and extinction have distinct temporal and biochemical signatures. J Neurosci. 2004;24:4787–4795. doi: 10.1523/JNEUROSCI.5491-03.2004.[PubMed] [CrossRef]
98. Zuardi AW, Shirakawa I, Finkelfarb E, Karniol IG. Action of cannabidiol on the anxiety and other effects produced by delta 9-THC in normal subjects. Psychopharmacology (Berl) 1982;76:245–250. doi: 10.1007/BF00432554. [PubMed] [CrossRef]
99. Karniol IG, Shirakawa I, Kasinski N, Pfeferman A, Carlini EA. Cannabidiol interferes with the effects of delta 9 – tetrahydrocannabinol in man. Eur J Pharmacol. 1974;28:172–177. doi: 10.1016/0014-2999(74)90129-0. [PubMed] [CrossRef]
100. Zuardi AW, Cosme RA, Graeff FG, Guimaraes FS. Effects of ipsapirone and cannabidiol on human experimental anxiety. J Psychopharmacol. 1993;7:82–88. [PubMed]
101. Martin-Santos R, Crippa JA, Batalla A, et al. Acute effects of a single, oral dose of d9-tetrahydrocannabinol (THC) and cannabidiol (CBD) administration in healthy volunteers. Curr Pharm Design. 2012;18:4966–4979. doi: 10.2174/138161212802884780. [PubMed] [CrossRef]
102. Crippa JA, Zuardi AW, Garrido GE, et al. Effects of cannabidiol (CBD) on regional cerebral blood flow. Neuropsychopharmacology. 2004;29:417–426. doi: 10.1038/sj.npp.1300340. [PubMed] [CrossRef]
103. Bhattacharyya S, Morrison PD, Fusar-Poli P, et al. Opposite effects of delta-9-tetrahydrocannabinol and cannabidiol on human brain function and psychopathology. Neuropsychopharmacology. 2010;35:764–774. doi: 10.1038/npp.2009.184. [PMC free article][PubMed] [CrossRef]
104. Crippa JA, Derenusson GN, Ferrari TB, et al. Neural basis of anxiolytic effects of cannabidiol (CBD) in generalized social anxiety disorder: a preliminary report. J Psychopharmacol. 2011;25:121–130. doi: 10.1177/0269881110379283. [PubMed] [CrossRef]
105. Bergamaschi MM, Queiroz RH, Chagas MH, et al. Cannabidiol reduces the anxiety induced by simulated public speaking in treatment-naive social phobia patients. Neuropsychopharmacology. 2011;36:1219–1226. doi: 10.1038/npp.2011.6.[PMC free article] [PubMed] [CrossRef]
106. Das RK, Kamboj SK, Ramadas M, et al. Cannabidiol enhances consolidation of explicit fear extinction in humans. Psychopharmacology. 2013;226:781–792. doi: 10.1007/s00213-012-2955-y. [PubMed] [CrossRef]
107. Hindocha C, Freeman TP, Schafer G, et al. Acute effects of delta-9-tetrahydrocannabinol, cannabidiol and their combination on facial emotion recognition: a randomised, double-blind, placebo-controlled study in cannabis users. Eur Neuropsychopharmacol. 2015;25:325–334. doi: 10.1016/j.euroneuro.2014.11.014.[PMC free article] [PubMed] [CrossRef]
108. Borgwardt SJ, Allen P, Bhattacharyya S, et al. Neural basis of Delta-9-tetrahydrocannabinol and cannabidiol: effects during response inhibition. Biol Psychiatry. 2008;64:966–973. doi: 10.1016/j.biopsych.2008.05.011. [PubMed] [CrossRef]
109. Fusar-Poli P, Crippa JA, Bhattacharyya S. Distinct effects of {delta}9-tetrahydrocannabinol and cannabidiol on neural activation during emotional processing. Arch Gen Psychiatry 2009;66:95-105. [PubMed]
110. Fusar-Poli P, Allen P, Bhattacharyya S. Modulation of effective connectivity during emotional processing by Delta 9-tetrahydrocannabinol and cannabidiol. Int J Neuropsychopharmacol. 2010;13:421–432. doi: 10.1017/S1461145709990617. [PubMed] [CrossRef]
111. Rubia K, Russell T, Overmeyer S, et al. Mapping motor inhibition: conjunctive brain activations across different versions of go/no-go and stop tasks. Neuroimage 2001;13:250-261. [PubMed]
112. Falconer E, Allen A, Felmingham KL, Williams LM, Bryant RA. Inhibitory neural activity predicts response to cognitive-behavioral therapy for posttraumatic stress disorder. J Clin Psychiatry. 2013;74:895–901. doi: 10.4088/JCP.12m08020. [PubMed] [CrossRef]
113. Mochcovitch MD, da Rocha Freire RC, Garcia RF, Nardi AE. A systematic review of fMRI studies in generalized anxiety disorder: evaluating its neural and cognitive basis. J Affect Disord. 2014;167:336–342. doi: 10.1016/j.jad.2014.06.041. [PubMed] [CrossRef]
114. Patel R, Spreng RN, Shin LM, Girard TA. Neurocircuitry models of posttraumatic stress disorder and beyond: a meta-analysis of functional neuroimaging studies. Neurosci Biobehav Rev. 2012;36:2130–2142. doi: 10.1016/j.neubiorev.2012.06.003. [PubMed] [CrossRef]
115. Morgan CJ, Freeman TP, Schafer GL, Curran HV. Cannabidiol attenuates the appetitive effects of Delta 9-tetrahydrocannabinol in humans smoking their chosen cannabis. Neuropsychopharmacology. 2010;35:1879–1885. doi: 10.1038/npp.2010.58.[PMC free article] [PubMed] [CrossRef]
116. Morgan CJ, Curran HV. Effects of cannabidiol on schizophrenia-like symptoms in people who use cannabis. Br J Psychiatry. 2008;192:306–307. doi: 10.1192/bjp.bp.107.046649. [PubMed] [CrossRef]
117. Morgan CJ, Schafer G, Freeman TP, Curran HV. Impact of cannabidiol on the acute memory and psychotomimetic effects of smoked cannabis: naturalistic study: naturalistic study [corrected] Br J Psychiatry. 2010;197:285–290. doi: 10.1192/bjp.bp.110.077503. [PubMed] [CrossRef]
118. Demirakca T, Sartorius A, Ende G, et al. Diminished gray matter in the hippocampus of cannabis users: possible protective effects of cannabidiol. Drug Alcohol Depend. 2011;114:242–245. [PubMed]
119. Niesink RJ, van Laar MW. Does cannabidiol protect against adverse psychological effects of THC? Front Psychiatry. 2013;4:130. doi: 10.3389/fpsyt.2013.00130. [PMC free article][PubMed] [CrossRef]





